CUET General Test 2025 14 May Shift 1
Logical Reasoning
Medium
✅ Correct Option: 1
Related questions:
30 May Shift 2
No login required. No pop-ups. We have all previous-year questions with solutions for free!
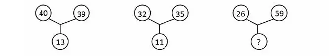
CUET General Test 2025 14 May Shift 1
Logical Reasoning
Medium
Related questions:
30 May Shift 2